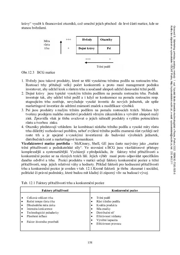
| Verze: pdf (~100kB) / obrázek (~150kB) | |||
| Kapitola: MARKETINGOVÉ PLÁNOVÁNÍ |
strana 158 z 166 Na stranu: |
||
![]() |
![]() |
![]() |
|
| Kapitola: MARKETINGOVÝ VÝZKUM |
Kapitola: LITERATURA |
||


